Taak 2; "Inhoud en flow"

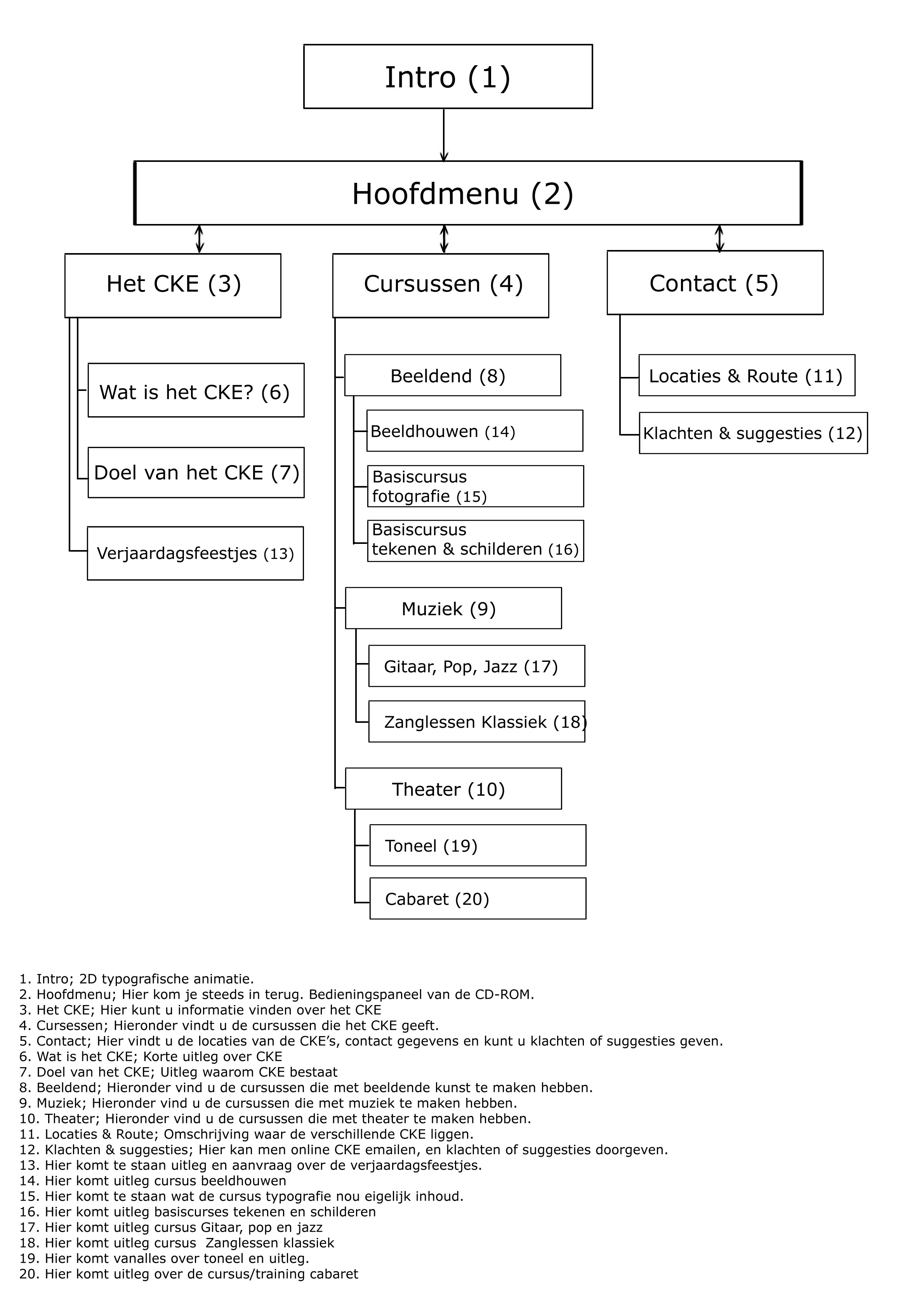
"Flowchart

Leren: Om een CD-ROM te maken moet je weten welke onderdelen je hebt en onderwerpen en hoe je gaat linken, dat maak je in een flowchart.

Maken: Een flowchart maken met ongeordende content, die je zelf eerst moet ordenen.

Aanpak: De content ordenen en samenvatten en daarvan de flowchart maken.



Terug


Bart de Brouwer MV1b